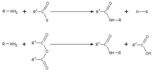
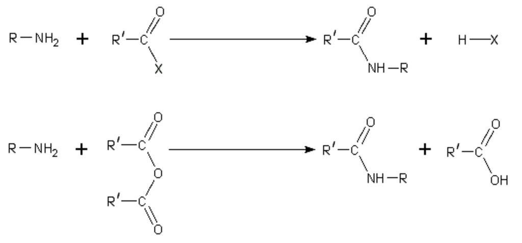
MAKE A MEME View Large Image Amide formation from amine.gif Amide formation from amine acylation by 1 acyl halide and 2 acyl anhydride Source enwiki en Image Amide formation from amine gif then corrected Created by en User Rayleung2709 and corrected by H Padleckas ...
View Original:Amide formation from amine.gif (538x251)
Download: Original    Medium    Small Thumb
Courtesy of:commons.wikimedia.org More Like This
Keywords: Amide formation from amine.gif Amide formation from amine acylation by 1 acyl halide and 2 acyl anhydride Source enwiki en Image Amide formation from amine gif then corrected Created by en User Rayleung2709 and corrected by H Padleckas <span class signature-talk >talk</span> All rights released to public domain 2007-03-14 own assumed InfoCan N-substituted primary amides Amines Amide formation reactions
Terms of Use   Search of the Day