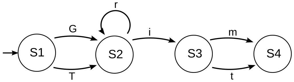
MAKE A MEME View Large Image CPT-FSM-FSA-Grim.svg en FSA of the words Trim Grim Grrrrrrim ; assuming S4 is the only accept state own Pluke Deterministic finite state automata Cc-zero
View Original:CPT-FSM-FSA-Grim.svg (388x108)
Download: Original    Medium    Small Thumb
Courtesy of:commons.wikimedia.org More Like This
Keywords: CPT-FSM-FSA-Grim.svg en FSA of the words Trim Grim Grrrrrrim ; assuming S4 is the only accept state own Pluke Deterministic finite state automata Cc-zero
Terms of Use   Search of the Day