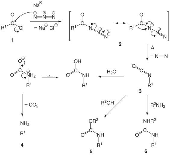
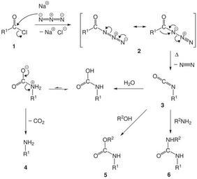
MAKE A MEME View Large Image Curtius rearrangement mechanism v1.svg en Mechanism of the Curtius rearrangement de Mechanismus der Curtius-Reaktion selbst erstellt mit ChemBioOffice 11 LinuxCLP 2011-08-12 Cc-zero Curtius rearrangement
View Original:Curtius rearrangement mechanism v1.svg (413x375)
Download: Original    Medium    Small Thumb
Courtesy of:commons.wikimedia.org More Like This
Keywords: Curtius rearrangement mechanism v1.svg en Mechanism of the Curtius rearrangement de Mechanismus der Curtius-Reaktion selbst erstellt mit ChemBioOffice 11 LinuxCLP 2011-08-12 Cc-zero Curtius rearrangement
Terms of Use   Search of the Day