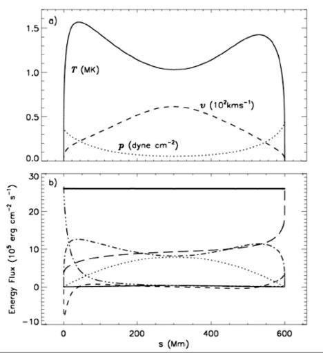
MAKE A MEME View Large Image Energyfig.png The above figure was produced by http //www astroengine net/astro/projects shtml Dr Ian O'Neill and http //users aber ac uk/xxl Dr Xing Li during research into the energy balance in a long coronal loop 600 million meters long ...
View Original:Energyfig.png (506x554)
Download: Original    Medium    Small Thumb
Courtesy of:commons.wikimedia.org More Like This
Keywords: Energyfig.png The above figure was produced by http //www astroengine net/astro/projects shtml Dr Ian O'Neill and http //users aber ac uk/xxl Dr Xing Li during research into the energy balance in a long coronal loop 600 million meters long in this example This is a modelled coronal loop using a full-implicit 2-fluid numerical method which solves the basic plasma equations simultaneously In the figure the top panel shows the plasma parameters along the coronal loop length where plasma temperature T in million Kelvin or 10<sup>6</sup>K velocity v in 10<sup>2</sup> kilometers per second and pressure p in dyne per cm<sup>-2</sup> are displayed As can be seen we are dealing with plasma temperatures of over 1 5MK The lower panel demonstrates the energy sources kinetic gravity enthalpy wave fluxes and energy sinks conduction radiation fluxes With reference to the figure the followeing energy flux corresponds to different traces on the graph kinetic energy flux thin solid line gravitational flux dotted radiative flux long-dash conductive flux short-dash enthalpy flux dot-dash wave flux triple-dot-dash and the total flux thick solid line The total flux must remain constant to confirm steady state English Wikipedia here These results are published in O'Neill I J and X Li Coronal loops heated by turbulence-driven Alfvén waves A two fluid model A A 435 pages 1159-1167 2005 http //adsabs harvard edu/cgi-bin/nph-bib_query bibcode 2005A 26A 435 1159O db_key AST data_type HTML format high 45ab50d77f27518 link to ADS en English Wikipedia Eeron80 Solar activity Kelvin temperature charts
Terms of Use   Search of the Day