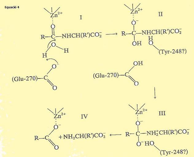
MAKE A MEME View Large Image Equaci贸 4.jpg es adaptaci贸 l 檕bservaci贸 que el metanol no pot substituir l 檃igua en la reacci贸 solvol铆tica ha conduit al mecanisme proposat own 2009-12-15 FERSHT A 1980 Estructura y mecanismo de los enzimas Espanya Revert茅 Organic ...
View Original:Equaci贸 4.jpg (819x664)
Download: Original    Medium    Small Thumb
Courtesy of:commons.wikimedia.org More Like This
Keywords: Equaci贸 4.jpg es adaptaci贸 l 檕bservaci贸 que el metanol no pot substituir l 檃igua en la reacci贸 solvol铆tica ha conduit al mecanisme proposat own 2009-12-15 FERSHT A 1980 Estructura y mecanismo de los enzimas Espanya Revert茅 Organic reactions
Terms of Use   Search of the Day