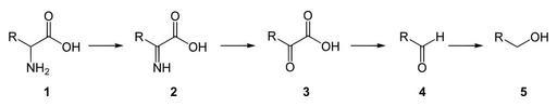
MAKE A MEME View Large Image Fermentation amino acids general2.svg en fermentation of a single amino acid in general according to Neubauer and Frommherz de allgemeine Darstellung der Vergärung einer Aminosäure nach Neubauer und Frommherz own Yikrazuul 2010-07-29 ...
View Original:Fermentation amino acids general2.svg (620x119)
Download: Original    Medium    Small Thumb
Courtesy of:commons.wikimedia.org More Like This
Keywords: Fermentation amino acids general2.svg en fermentation of a single amino acid in general according to Neubauer and Frommherz de allgemeine Darstellung der Vergärung einer Aminosäure nach Neubauer und Frommherz own Yikrazuul 2010-07-29 Carbohydrate metabolism Amino acid metabolism
Terms of Use   Search of the Day