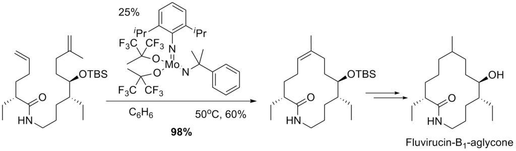
MAKE A MEME View Large Image Fluvirucin Synthesis Olefin Metathesis.png Fluvirucin Synthesis Olefin Metathesis Own 2008-05-23 zh User Puppy8800 Organic syntheses
View Original:Fluvirucin Synthesis Olefin Metathesis.png (1995x587)
Download: Original    Medium    Small Thumb
Courtesy of:commons.wikimedia.org More Like This
Keywords: Fluvirucin Synthesis Olefin Metathesis.png Fluvirucin Synthesis Olefin Metathesis Own 2008-05-23 zh User Puppy8800 Organic syntheses
Terms of Use   Search of the Day