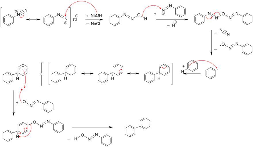
MAKE A MEME View Large Image Gomberg Bachmann Reaktion 2 Mechanismus.svg en Gomberg-Bachmann-Reaction de Gomberg-Bachmann-Reaktion own Ð”Ñ‘Ñ Ñ‚Ðµ Вилкен Gomberg-Bachmann reaction Cc-zero
View Original:Gomberg Bachmann Reaktion 2 Mechanismus.svg (751x437)
Download: Original    Medium    Small Thumb
Courtesy of:commons.wikimedia.org More Like This
Keywords: Gomberg Bachmann Reaktion 2 Mechanismus.svg en Gomberg-Bachmann-Reaction de Gomberg-Bachmann-Reaktion own Ð”Ñ‘Ñ Ñ‚Ðµ Вилкен Gomberg-Bachmann reaction Cc-zero
Terms of Use   Search of the Day