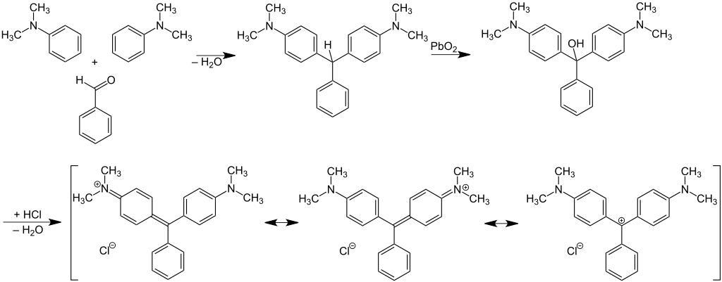
MAKE A MEME View Large Image Malachite green Synthesis V.2.svg en Malachite_green_Synthesis de Malachitgrün_Synthese own Jü 05/07/2010 Malachite green
View Original:Malachite green Synthesis V.2.svg (1963x768)
Download: Original    Medium    Small Thumb
Courtesy of:commons.wikimedia.org More Like This
Keywords: Malachite green Synthesis V.2.svg en Malachite_green_Synthesis de Malachitgrün_Synthese own Jü 05/07/2010 Malachite green
Terms of Use   Search of the Day