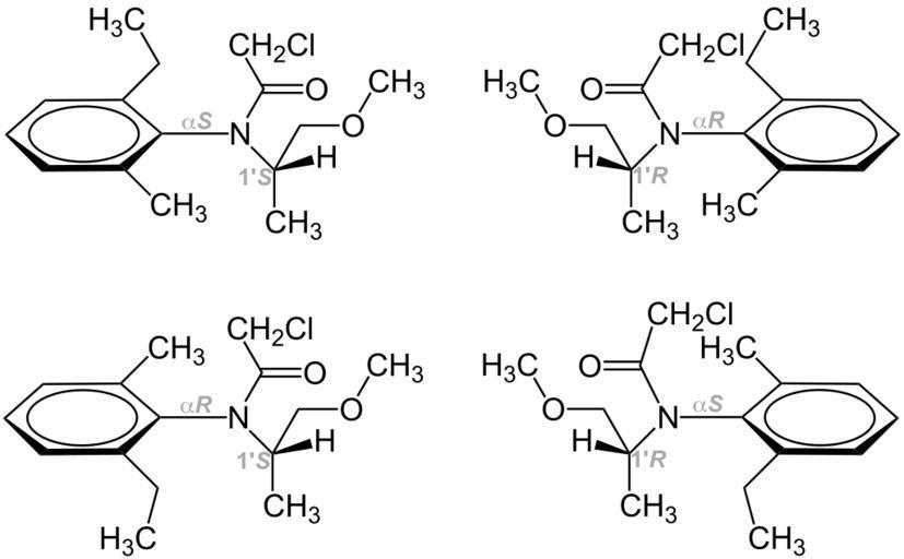
MAKE A MEME View Large Image Metolachlor four stereoisomers V.1.svg en Metolachlor de Metolachlor own Jü 2013-02-22 4 stereoisomers Cc-zero Metolachlor Stereoisomerism
View Original:Metolachlor four stereoisomers V.1.svg (869x538)
Download: Original    Medium    Small Thumb
Courtesy of:commons.wikimedia.org More Like This
Keywords: Metolachlor four stereoisomers V.1.svg en Metolachlor de Metolachlor own Jü 2013-02-22 4 stereoisomers Cc-zero Metolachlor Stereoisomerism
Terms of Use   Search of the Day