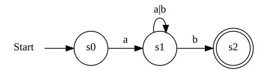
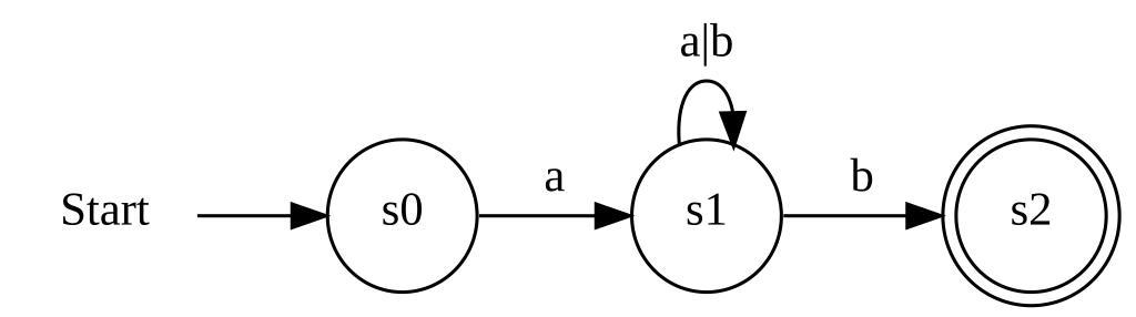
MAKE A MEME View Large Image Nea02.svg Nichtdeterministischer endlicher Automat Aus dot graphviz selber erstellt 2011-06-28 Allg Mathematiklehre Muggabatscher at http //de wikipedia org de wikipedia Later version s were uploaded by Marsupilami at http //de wikipedia ...
View Original:Nea02.svg (336x94)
Download: Original    Medium    Small Thumb
Courtesy of:commons.wikimedia.org More Like This
Keywords: Nea02.svg Nichtdeterministischer endlicher Automat Aus dot graphviz selber erstellt 2011-06-28 Allg Mathematiklehre Muggabatscher at http //de wikipedia org de wikipedia Later version s were uploaded by Marsupilami at http //de wikipedia org de wikipedia PD-release Original upload log page de wikipedia Nea02 svg 2011-06-29 07 52 Marsupilami 420×118× 3069 bytes <nowiki>-Hintergrund</nowiki> 2011-06-29 06 28 Muggabatscher 420×118× 3149 bytes <nowiki> Bild-frei Andere Versionen </nowiki> 2011-06-28 07 43 Muggabatscher 395×93× 2817 bytes <nowiki> Andere Versionen </nowiki> Finite state machine
Terms of Use   Search of the Day