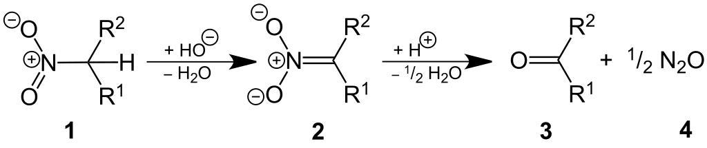
MAKE A MEME View Large Image Nef Reaction V.3.0.svg en Nef_Reaction de Nef-Reaktion own Jü 2012-11-23 Nef reaction Cc-zero
View Original:Nef Reaction V.3.0.svg (894x188)
Download: Original    Medium    Small Thumb
Courtesy of:commons.wikimedia.org More Like This
Keywords: Nef Reaction V.3.0.svg en Nef_Reaction de Nef-Reaktion own Jü 2012-11-23 Nef reaction Cc-zero
Terms of Use   Search of the Day