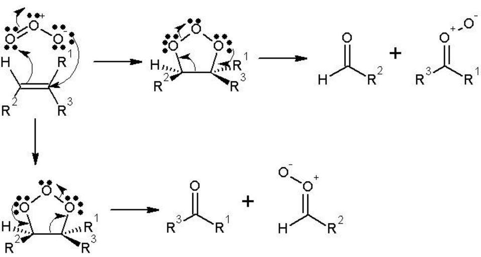
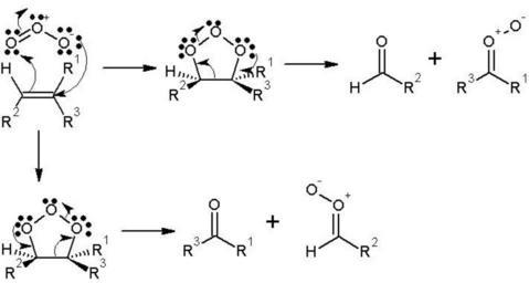
MAKE A MEME View Large Image Ozonolisis1.jpg es Esquema generalizado para la reacción de ozonólisis own LPWT09 2009-05-28 Ozonolysis
View Original:Ozonolisis1.jpg (711x380)
Download: Original    Medium    Small Thumb
Courtesy of:commons.wikimedia.org More Like This
Keywords: Ozonolisis1.jpg es Esquema generalizado para la reacción de ozonólisis own LPWT09 2009-05-28 Ozonolysis
Terms of Use   Search of the Day