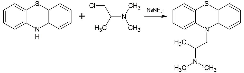
MAKE A MEME View Large Image Promethazine syntesis.jpg Promethazine synthesis svg en Syntesis of promethazine by alkylation of phenothiazine ru Получение п ометазина алкили ованием фенотиазина own Дядя Ф ед Drug ...
View Original:Promethazine syntesis.jpg (3727x1130)
Download: Original    Medium    Small Thumb
Courtesy of:commons.wikimedia.org More Like This
Keywords: Promethazine syntesis.jpg Promethazine synthesis svg en Syntesis of promethazine by alkylation of phenothiazine ru Получение п ометазина алкили ованием фенотиазина own Дядя Ф ед Drug syntheses Promethazine
Terms of Use   Search of the Day