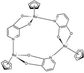
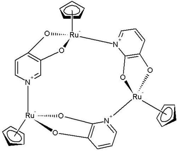
MAKE A MEME View Large Image Receptorlitio.jpg es Un trímero de Ru que sirve para secuestrar iones Li<sup>+</sup> own LPWT09 Organometallic chemistry
View Original:Receptorlitio.jpg (500x433)
Download: Original    Medium    Small Thumb
Courtesy of:commons.wikimedia.org More Like This
Keywords: Receptorlitio.jpg es Un trímero de Ru que sirve para secuestrar iones Li<sup>+</sup> own LPWT09 Organometallic chemistry
Terms of Use   Search of the Day