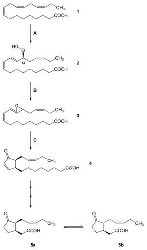
MAKE A MEME View Large Image Synthesis Jasmonic acid.svg en Synthesis of Jasmonic acid 5b from Alpha-linolenic acid 1 ; 2 13 S -13-hydroperoxylinolenlic acid; 3 13S-hydroperoxy- 9Z 11E 15Z -octadecatrienoic acid; 4 12-oxophytodienoic acid; 5a + -7-iso-jasmonic acid; A ...
View Original:Synthesis Jasmonic acid.svg (413x700)
Download: Original    Medium    Small Thumb
Courtesy of:commons.wikimedia.org More Like This
Keywords: Synthesis Jasmonic acid.svg en Synthesis of Jasmonic acid 5b from Alpha-linolenic acid 1 ; 2 13 S -13-hydroperoxylinolenlic acid; 3 13S-hydroperoxy- 9Z 11E 15Z -octadecatrienoic acid; 4 12-oxophytodienoic acid; 5a + -7-iso-jasmonic acid; A 13-lipoxygenase; B 13-allene oxide synthase; C allene oxide cyclase de Synthese von Jasmonsäure 5b aus α-Linolensäure 1 2 13 S -Hydroperoxylinolensäure; 3 12 13 S -Epoxy-9 Z 11 E 15 Z -oktadekatriensäure; 4 12-oxo-Phytodienonsäure; 5a + -7-iso-Jasmonsäure; A 13-Lipoxygenase; B 13-Allenoxidsynthase; C Allenoxidcyclase Own Yikrazuul 7 9 08 Jasmonates Unsaturated fatty acids Biosyntheses
Terms of Use   Search of the Day