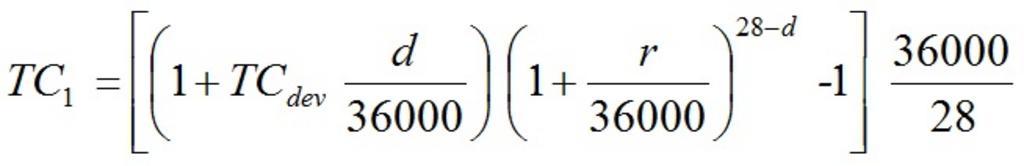
Keywords: Tasa anual esperada para el siguiente pago de intereses.jpg es Fórmula para obtener la tasa anual esperada para el siguiente pago de intereses de los Bondes D en México http //www banxico org mx/sistema-financiero/material-educativo/intermedio/subastas-y-colocacion-de-valores/regulacion-monetaria/notas-tecnicas-y-titulos-multiples/ 7B314E0825-95E1-977C-825E-326B4F546594 7D pdf Banco de México La formula fue obtenida de la pagina http //www banxico org mx/ con la colaboración de la Secretaría de Hacienda y Crédito Público PD-author Banco de México Mathematical equations Finance |