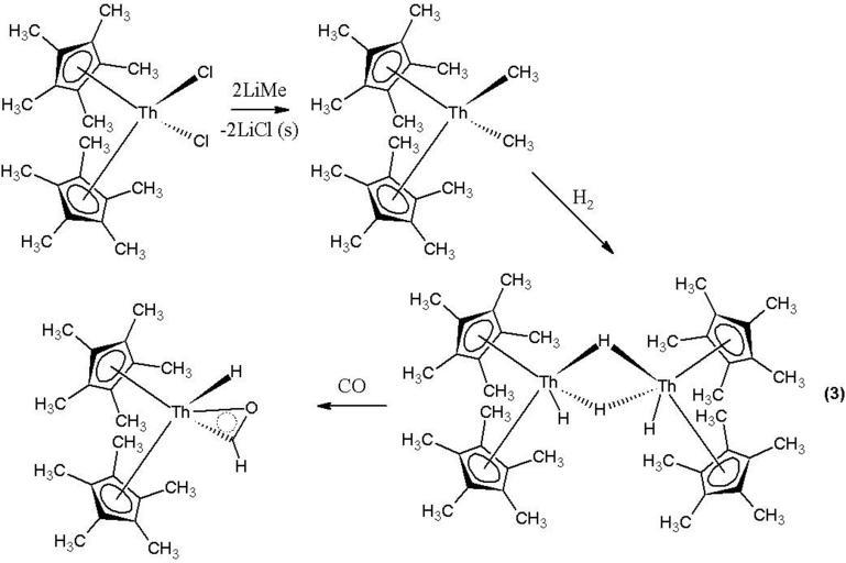
MAKE A MEME View Large Image ThCp2X2.jpg es Reacción de especies AnCp 2X2 El hidruro sufre una inserción de enlaces polares CO y se oxida; el CO se reduce a la forma η2-formilo Own LPWT09 Check categories 2009 June 13 es wikipedia Organolantánido 1 Organometallic ...
View Original:ThCp2X2.jpg (1042x694)
Download: Original    Medium    Small Thumb
Courtesy of:commons.wikimedia.org More Like This
Keywords: ThCp2X2.jpg es Reacción de especies AnCp 2X2 El hidruro sufre una inserción de enlaces polares CO y se oxida; el CO se reduce a la forma η2-formilo Own LPWT09 Check categories 2009 June 13 es wikipedia Organolantánido 1 Organometallic chemistry
Terms of Use   Search of the Day