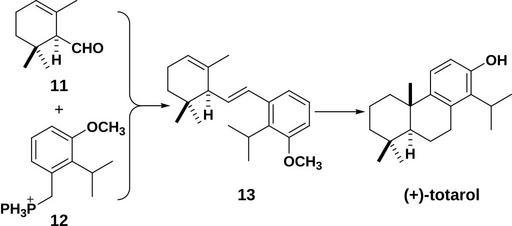
MAKE A MEME View Large Image Totarol scheme 4.svg PH<sub>3</sub>P should be Ph<sub>3</sub>P en chemical synthesis of totarol 2 own Frutag ImageNote 1 6 591 124 96 1577 695 2 should be Ph3P ImageNoteEnd 1 Organic reactions
View Original:Totarol scheme 4.svg (1576x694)
Download: Original    Medium    Small Thumb
Courtesy of:commons.wikimedia.org More Like This
Keywords: Totarol scheme 4.svg PH<sub>3</sub>P should be Ph<sub>3</sub>P en chemical synthesis of totarol 2 own Frutag ImageNote 1 6 591 124 96 1577 695 2 should be Ph3P ImageNoteEnd 1 Organic reactions
Terms of Use   Search of the Day