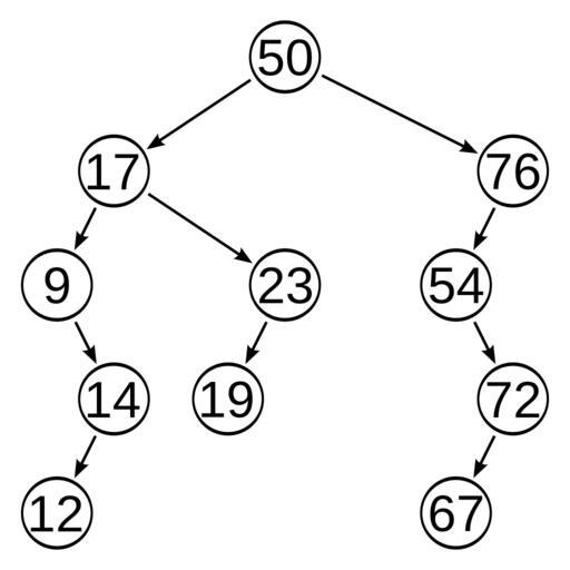
MAKE A MEME View Large Image Unbalanced binary tree.svg An unbalanced w binary tree for comparison with height-balanced AVL trees as in Image AVLtreef svg Tasakaalustamata kahendpuu võrdluseks tasakaalustatud AVL kahendpuuga nagu pildil Image AVLtreef svg Own ...
View Original:Unbalanced binary tree.svg (800x800)
Download: Original    Medium    Small Thumb
Courtesy of:commons.wikimedia.org More Like This
Keywords: Unbalanced binary tree.svg An unbalanced w binary tree for comparison with height-balanced AVL trees as in Image AVLtreef svg Tasakaalustamata kahendpuu võrdluseks tasakaalustatud AVL kahendpuuga nagu pildil Image AVLtreef svg Own 2007-09-25 Me Intgr Inkscape Tree diagrams AVL-trees ImageNote 1 144 555 11 11 800 800 2 22 ImageNoteEnd 1 ImageNote 2 156 557 11 11 800 800 2 15 ImageNoteEnd 2
Terms of Use   Search of the Day